ओडिशा के ढेंकनाल ज़िले के परजंग थाना क्षेत्र में 4 जनवरी 2026 को एक पादरी बिपिन बिहारी नाइक पर बजरंग दल के कार्यकर्ताओं ने हमला किया. उन्हें मारपीट कर ‘जय श्री राम’ के नारे लगाने और नाले का पानी को मजबूर किया गया. इतना ही नहीं, भीड़ ने पीड़ित पादरी के चेहरे पर जबरन सिंदूर लगाया, जूतों की माला पहनाई और उन्हें सार्वजनिक रूप से पीटते हुए गांव की सड़कों पर घुमाया गया.
क्या है पूरा मामला ?
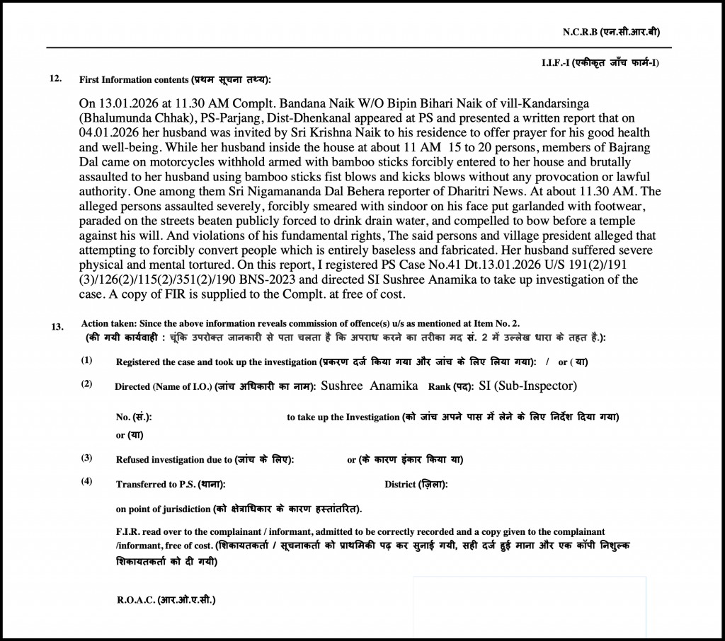
13 जनवरी को पीड़ित पादरी की पत्नी बंदना नायक द्वारा दर्ज कराए गए FIR के अनुसार, 4 जनवरी 2026 को पादरी बिपिन बिहारी नायक को गांव के ही एक व्यक्ति कृष्ण नायक ने अच्छे स्वास्थ्य और कल्याण के लिए प्रार्थना करने के लिए अपने घर बुलाया था. इसी दौरान 11 बजे करीब 15 से 20 लोगों ने जबरदस्ती उस प्रार्थना वाले घर में घुसकर पादरी पर लात घूसों और बाँस के डंडों से हमला कर दिया. ये लोग कथित तौर पर बजरंग दल से जुड़े बताए जा रहे हैं.

धर्मांतरण का आरोप लगाकर किया सार्वजनिक अपमान
FIR के अनुसार, भीड़ ने पादरी के चेहरे पर जबरन सिंदूर लगाया, जूतों की माला पहनाई और उन्हें सार्वजनिक रूप से पीटते हुए गांव की सड़कों पर घुमाया. इसके अलावा, पीड़ित पादरी को नाले का पानी पीने के लिए मजबूर किया गया और एक मंदिर के सामने जबरन माथा टेकने के लिए मजबूर किया गया.
शिकायत में बंदना नायक ने कथित धर्मांतरण के आरोप को निराधार और मनगढ़ंत बताया और बताया कि उनके पति पर ग्राम प्रधान और सभी लोगों ने जबरदस्ती लोगों के धर्मपरिवर्तन कराने का झूठा आरोप लगाते हुए हमला किया. इससे उनके पति को गंभीर शारीरिक चोटों के साथ-साथ मानसिक आघात भी पहुंचा है.
शिकायत में 15 से 20 अज्ञात आरोपियों के साथ एक ज्ञात आरोपी के रूप निगमानंद दलबेहरा का नाम भी दर्ज है जिसे धारित्री न्यूज़ का रिपोर्टर बताया गया है.
गौर करें कि धारित्री न्यूज़ ने इस घटना को लेकर पादरी पर धर्मांतरण कराने का आरोप लगाते हुए 4 जनवरी को एक खबर चलाई थी. हालाँकि, उस ख़बर में पादरी पर भीड़ द्वारा किए गए अपमानजनक व्यवहार, मारपीट, गले में चप्पल जूते की माला पहनाए जाने की घटना का कहीं भी ज़िक्र नहीं किया गया था.

ऑल्ट न्यूज़ ने इस घटना के संबंध में पीड़ित परिवार से संपर्क किया. पादरी के भाई उदय ने बताया कि इस घटना के बाद पूरा परिवार परेशान है. साथ ही कहा कि वह इस घटना के संबंध में पहले ही मीडिया को बता चुके हैं.
पादरी बिपिन नायक की पत्नी बंदना ने मकतूब मीडिया से बात करते हुए, एफआईआर लिखित शिकायत को दोहराते हुए घटना क्रम के बारे में बताया. ध्यान दें कि मकतूब मीडिया ने सबसे पहले इस घटना को उजागर किया है.
हमने एक स्थानीय सामाजिक कार्यकर्ता से संपर्क किया. उन्होंने इस पर विस्तार से बताया कि बजरंग दल के सदस्यों द्वारा यह हमला अचानक किया गया ऐसा नहीं कहा जा सकता क्योंकि 1 जनवरी 2025 में भी ऐसे ही प्रार्थना सभा के दौरान पादरी बिपिन नायक को प्रार्थना करने से रोका गया था. जिसके बाद से पादरी बिपिन नायक और बाक़ी लोग प्रार्थना नहीं करते थे.
सामाजिक कार्यकर्ता ने यह भी बताया, “पादरी बिपिन नायक को पहले भी गाँव से चले जाने की धमकियां दी जा चुकी है. लेकिन आरोपियों ने इस बार एक प्रार्थना सभा को धर्मांतरण कराने का झूठा आरोप लगाकर हमला किया. पादरी को पहले तो घर में घुसकर मारा उसके उसके चेहरे पर सिंदूर लगाया और जूता का माला पहनाकर गाँव के आँगन में पीटते हुए ले जाया गया, वहीं स्थित हुनमान मंदिर में दण्डवत माथा टेकने के लिए जबरदस्ती किया गया. पादरी द्वारा माथा ना टेकने पर उस डंडे लाठियों से सिर को छोड़कर शरीर के बाकी हिस्सों पर हमला किया जिससे खून बाहर ना आए और ना ही बाहर से निशान दिखे.”
उन्होंने बताया कि पादरी बिपिन नायक की पत्नी द्वारा शिकायत करने के बाद भी हमला वाले जगह पर पुलिस 2 घंटे देरी से पहुंची और भीड़ से छुड़ा कर पादरी को थाने ले आए. लेकिन सरपंच और लोगों के झूठे धर्मांतरण के आरोपों के बीच FIR नहीं लिखा जा रहा था. 12 जनवरी को पुलिस अधीक्षक (SP) को लिखित शिकायत देने 40 लोग एक साथ गए और FIR करने की माँग की. तब जाके 13 जनवरी को ब्लॉक के थाने में FIR दर्ज की गई.

22 जनवरी को छपी टाइम्स ऑफ़ इंडिया की एक रिपोर्ट में ढेंकनाल एसपी अभिनव सोनकर ने 21 जनवरी को चार लोगों को हिरासत में लिए जाने की जानकारी दी. उन्होंने कहा कि संदिग्धों से पूछताछ की जा रही है व मामले की आगे की जांच भी जारी है. हालांकि, टाइम्स ऑफ़ इंडिया ने लिखा कि ढेंकनाल एसपी अभिनव सोनकर ने इस पूरे घटना के बारे में विस्तार से नहीं बताया.
23 जनवरी को टेलीग्राफ की एक रिपोर्ट में बताया गया है कि इस मामले में पुलिस ने कार्रवाई करते हुए 9 लोगों को हिरासत में लिया है. पादरी बिपिन बिहारी नायक के सार्वजनिक अपमान और धार्मिक उत्पीड़न की गंभीर घटना के 2 सप्ताह के बाद पुलिस एक्शन में आई.
ऑल्ट न्यूज़ ने परजंग थाने में जानकारी लेने के लिए संपर्क किया. लेकिन हमें उनसे कोई जवाब नहीं मिला है जैसे ही हमें कोई प्रतिक्रिया मिलेगी उसे हम इस आर्टिकल में अपडेट कर देंगे.
ओडिशा की यह घटना कथित धर्मांतरण के झूठे आरोपों के नाम पर हो रही हिंसा की एक और कड़ी है, जो कि एक बार फिर से ना केवल ओडिशा में बल्कि देश के कई हिस्सों में ईसाई समुदाय व अल्पसंख्यकों के खिलाफ बढ़ती भीड़ हिंसा और कथित धर्मांतरण के नाम पर हो रहे हमलों पर गंभीर सवाल खड़े कर रही है. दिसंबर 2025 में बंगाल के एक मजदूर को ओडिशा में बांग्लादेशी होने के शक में मार दिया गया.
सत्ता को आईना दिखाने वाली पत्रकारिता का कॉरपोरेट और राजनीति, दोनों के नियंत्रण से मुक्त होना बुनियादी ज़रूरत है. और ये तभी संभव है जब जनता ऐसी पत्रकारिता का हर मोड़ पर साथ दे. फ़ेक न्यूज़ और ग़लत जानकारियों के खिलाफ़ इस लड़ाई में हमारी मदद करें. नीचे दिए गए बटन पर क्लिक कर ऑल्ट न्यूज़ को डोनेट करें.
बैंक ट्रांसफ़र / चेक / DD के माध्यम से डोनेट करने सम्बंधित जानकारी के लिए यहां क्लिक करें.




