नीचे लिखे मेसेज के साथ एक वीडियो व्हाट्सऐप पर सर्क्युलेट हो रहा है.
“आख़िर WHO ने दुनिया को धोखा दिया. कोरोना कोई वायरस नहीं है बल्कि ये एक बैक्टीरियल इन्फेक्शन है और इसके मरीज एक दिन में ठीक हो सकते हैं. यह वीडियो देखिए और इसे वायरल कीजिए, इसे ज़्यादा से ज़्यादा लोगों को भेजिए.”
My Goodness is this true? Some1nd2findout. US n mny cointrirs wth strongest Intel agencies cudnt detect d fact? WHO. cheated d world?Is Corona not a Virus but a bacterial infection and patients can cure only in one day? See this video and share it so that d facts can b verified. pic.twitter.com/drXuR8uyd3
— Chowkidar Ravichiruvolu🇮🇳 proudBhaaratheeyan🇮🇳 (@Ravichiruvolu1) June 12, 2020
दावे
1.”COVID-19 एक बैक्टीरिया है, वायरस नहीं.”
2. “COVID-19 में वेंटिलेशन या ICU में एडमिट कराने की कोई ज़रूरत नहीं होती.”
3. “COVID-19 को एक दिन में ठीक किया जा सकता है.”
नतीजा
गलत
फ़ैक्ट-चेक
1. SARS-CoV-2 नाम के नोवल कोरोना वायरस से पैदा हुआ है COVID-19, न कि बैक्टीरिया से
वायरस, बैक्टीरिया और मानव कोशिकाओं के आकार-प्रकार में भारी अंतर होता है. बैक्टीरिया और मानव कोशिकाओं को साधारण माइक्रोस्कोप से देखा जा सकता है जबकि वायरस को नहीं. आम तौर पर पशु या पौधों की कोशिकाएं साइज़ में 10 µm (µm = माइक्रोमीटर) से 100 µm तक रहती हैं. बैक्टीरिया इससे भी छोटे, 1 µm के रहते हैं. वायरस 5nm (nm = नैनो मीटर) से 300nm तक होते हैं (नीचे तस्वीर देखिए). यहां आपको बता दें कि 1 µm में 1000 nm होते हैं. नोवल कोरोना वायरस का साइज़ लगभग 100nm है (Bar-On, Y et al. 2020). पशुओं या पौधों की कोशिकाओं और बैक्टीरिया के आकार-प्रकार का ये अंतर किसी भी संक्रामक रोगों वाली लैब में देखा जा सकता है. जबकि वायरस पर रिसर्च के लिए हमें ख़ास उपकरणों की ज़रूरत होती है. अगर COVID-19 का संक्रमण बैक्टीरिया से होता तो इतने लंबे समय तक इस पर विवाद नहीं होता.

जनवरी 2020 में जो मरीज़ वायरल निमोनिया के शिकार हुए थे, उसके ज़िम्मेदार पैथोजेन (बीमारी पैदा करने वाला जीवाणु) का पता नहीं था. इनमें से कुछ मरीज़ों से पूछताछ की गयी तो मालूम चला कि वो हाल ही में वुहान के सी-फ़ूड मार्केट गए थे. इन मरीज़ों के फेफड़े से सैंपल (bronchoalveolar lavage fluid) लिया गया. ये सारे सैम्पल श्वसन तंत्र में संक्रमण करने वाले जाने-माने जीवाणुओं के टेस्ट में निगेटिव पाए गए.
ये सैंपल का कल्चर (जीवाणुओं की वृद्धि) और इनकी genome sequencing भी की गई थी. Genome sequencing DNA न्यूक्लियोटाइड्स का क्रम पता करने की एक प्रक्रिया है जो सभी जीन्स में As, Cs, Gs, और Ts के क्रम से जीवाणुओं का genome बनाती है. इन सैंपल्स के genome का क्रम पिछली बार पहचाने गए एक वायरस से पर्याप्त मिलता-जुलता (एक जैसे नहीं) था जिसके पहले दो बार प्रकोप हो चुके थे. इसलिए इस नए जीवाणु को कोरोना वायरस के रूप में जाना गया और इसे SARS-CoV-2 नाम दिया गया. तब से जिन नए मरीज़ों को पुराने COVID-19 मरीज़ों की कांटैक्ट ट्रेसिंग के द्वारा पहचाना गया, उनमें की गई Covid-19 जांच, यानी RT-PCR टेस्ट में यही वायरस (SARS-CoV-2) पाया जा रहा है.
बाद में CDC, USA ने वायरस के स्ट्र्क्चर का स्कीमेटिक डायग्राम जारी किया जिससे समझाया जा सके कि कैसे यह वायरस मानव कोशिकाओं में प्रवेश करता है. वायरस की सतह पर एक प्रोटीन (S प्रोटीन) पाया गया जो मानव कोशिका की सतह पर एक ख़ास रिसेप्टर (ACE2) से जुड़कर अंदर प्रवेश करता है और कोशिका के अंदर प्रवेश कर कई गुना बढ़ता रहता है (Xu, X et al 2020).

यानी मरीजों के टिश्यू सैंपल्स से मिले सबूतों, एपिडेमियोलॉजिकल डेटा, क्लीनिकल डेटा और genomic डेटा सब मिलकर साबित करते हैं कि COVID-19 नाम की महामारी नोवल कोरोना वायरस से पैदा हुई है, किसी बैक्टीरिया से नहीं.
2. गम्भीर कोरोना वायरस इन्फ़ेक्शन में वेंटिलेटर और ICU सपोर्ट की ज़रूरत होती है
COVID-19 से संक्रमित लगभग 5-15 प्रतिशत मरीजों को कड़ी निगरानी और वेंटिलेटर सपोर्ट की ज़रूरत पड़ती है (Möhlenkamp, S et al. 2020). ऐसा मुख्य तौर से इसलिए करना पड़ता है क्योंकि निमोनिया और एक्यूट रेस्पिरेटरी डिस्ट्रेस सिंड्रोम (ARDS) मरीज़ों को खुद से सांस लेने में असमर्थ कर देता है. इसके अलावा COVID-19 के कुछ और प्रभावों जैसे डीसेमिनेटेड इंट्रावेस्क्युलर कॉग्युलेशन (DIC), एक्यूट पल्मनरी एंबॉलिज़्म , डीप वेन थ्रोंबोसिस, इस्कीमिक स्ट्रोक, मायोकार्डियल इंफ़ार्कशन आदि में भी आम तौर पर ICU सपोर्ट की ज़रूरत पड़ती है (Klok, F.A et al. 2020). Thromboembolism से होने वाली परेशनियां या DIC में भी मेकेनिकल वेंटिलेशन की ज़रूरत पड़ती है.
यानी ये भी सच नहीं है के किसी भी COVID-19 के मरीज़ को कभी भी वेंटिलेटर या ICU सपोर्ट की ज़रूरत नहीं पड़ती है.
3. COVID-19 एक दिन में ठीक नहीं हो सकता है.
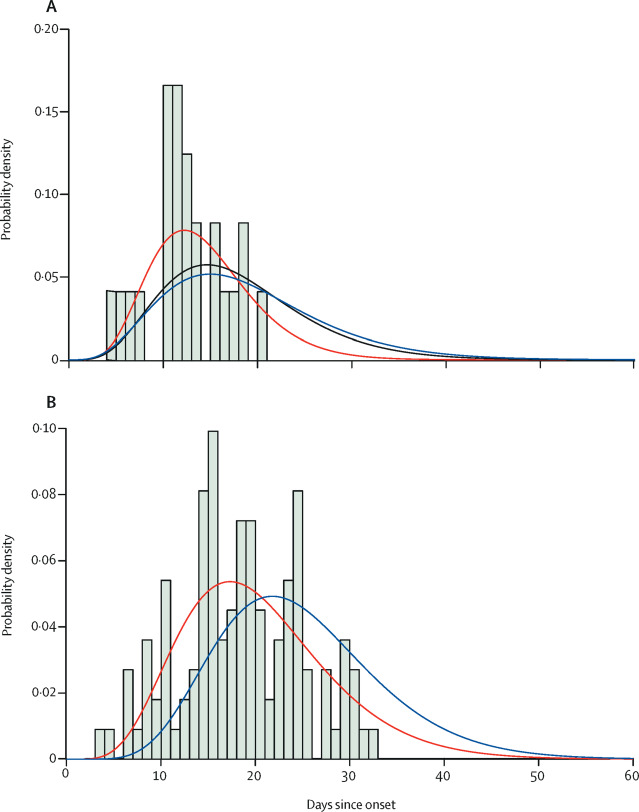
COVID-19 के मरीज में बीमारी की शुरुआत से ठीक होने में औसत 24.7 दिन का टाइम लग सकता है (Verity R et al. 2020), नीचे लगा फ़िगर देखिए. यानी ये भी सच नहीं है कि COVID-19 को एक दिन में ठीक किया जा सकता है.

निष्कर्ष
इस बात के पर्याप्त सबूत हैं कि ये महामारी SARS-CoV-2 नाम के नोवल कोरोना वायरस से होती है. ये कहना कि महामारी के रोगाणु का प्रकार और उसका इलाज सारे विश्व से षड्यंत्र के तहत छुपाया जा रहा है, निहायती बेतुकी बात है. लोगों के पास षड्यंत्र की अफ़वाह फैलाने के कई उद्देश्य हो सकते है. किंतु विशेषज्ञों और आम लोगों के बीच में जानकारी और संचार की कमियों से, और अधिकारियों पर भरोसे की कमी से, इतने सारे सबूत होने के बाद भी ऐसी अफ़वाहें इतना ज़्यादा फैल जाती हैं. हालांकि वायरल वीडियो में किया जा रहा दावा कि COVID-19 के मरीज़ को कभी वेंटिलेटर या ICU की ज़रूरत नहीं होती और ये एक दिन में ठीक हो सकता है, ये लोगों को राहत दे सकता है लेकिन ये सच कतई नहीं है.
कई COVID-19 के मामले केवल गहन इलाज और ऑर्गन सपोर्ट सिस्टम से ही ठीक हो सकते हैं. कॉन्स्पिरेसी थ्योरीज़ स्थिति को केवल और बिगाड़ती हैं और ये सोशल डिस्टेंसिंग को दरकिनार करके आराम से घूमने, बहुधा हाथ न धोने और मास्क न पहनने को प्रोत्साहित करती हैं.
रेफ़रेन्स
Lu, R., Zhao, X., Li, J., Niu, P., Yang, B., Wu, H., … & Bi, Y. (2020). Genomic characterisation and epidemiology of 2019 novel coronavirus: implications for virus origins and receptor binding. The Lancet, 395(10224), 565-574.
Möhlenkamp, S., & Thiele, H. (2020). Ventilation of COVID-19 patients in intensive care units. Herz, 1.
Verity, R., Okell, L., Dorigatti, I., Winskill, P., Whittaker, C., & Imai, N. et al. (2020). Estimates of the severity of coronavirus disease 2019: a model-based analysis. The Lancet Infectious Diseases, 20(6), 669-677.
Klok, F. A., Kruip, M. J. H. A., Van der Meer, N. J. M., Arbous, M. S., Gommers, D. A. M. P. J., Kant, K. M., … & Endeman, H. (2020). Incidence of thrombotic complications in critically ill ICU patients with COVID-19. Thrombosis research.
Xu, X., Chen, P., Wang, J., Feng, J., Zhou, H., Li, X., … & Hao, P. (2020). Evolution of the novel coronavirus from the ongoing Wuhan outbreak and modelling of its spike protein for risk of human transmission. Science China Life Sciences, 63(3), 457-460.
सत्ता को आईना दिखाने वाली पत्रकारिता का कॉरपोरेट और राजनीति, दोनों के नियंत्रण से मुक्त होना बुनियादी ज़रूरत है. और ये तभी संभव है जब जनता ऐसी पत्रकारिता का हर मोड़ पर साथ दे. फ़ेक न्यूज़ और ग़लत जानकारियों के खिलाफ़ इस लड़ाई में हमारी मदद करें. नीचे दिए गए बटन पर क्लिक कर ऑल्ट न्यूज़ को डोनेट करें.
बैंक ट्रांसफ़र / चेक / DD के माध्यम से डोनेट करने सम्बंधित जानकारी के लिए यहां क्लिक करें.




